Krstulovic-Dabic(KD)水化动力学模型经常被用来研究水泥基材料的水化机制。等温量热法是研究水泥基材料水化动力学的常用方法,得到的数据可以很好地描述水化过程。在本文中,使用低场核磁共振来监测水泥基材料的水化过程,经过数据处理,结果表明KD模型也适用于低场核磁共振。
由于低场核磁共振能够对水泥基材料进行了连续和无损的测量,相比等温量热法在描述水泥基材料的水化行为方面有很大的应用前景。
水泥的发明超过了100年,但其具体的水化机制目前还不完全了解,因为水泥由多组分组成,每一种矿物都有不同的水化行为,并且相互作用,这使得水泥的水化过程特别复杂。一般来说,水化过程是水泥基材料的基础,因此深入了解水泥基材料的水化机制对其微观结构、发育过程等研究十分重要。
由于低场核磁共振技术是一项快速、无损、绿色、精度高且可以连续监测水泥基材料水化过程的技术。
本文使用米兰网提供的低场核磁设备测试水化的过程,设备型号为:NMRC12-010-T,配置了波兰特水泥和C3S样品,以便进一步研究不同水泥基材料的水化过程。

由于低场核磁共振是一种以水分子为测试对象的连续监测方法,整个水化阶段的水化率可以通过水信号的变化来表征。为了比较,不同样品的初始信号强度被定义为100%,以便于观察水化过程的差异。
图1显示了3天内不同样品PC-0.3-NMR和PC-0.5-NMR的水化过程低场核磁信号。水泥的水化过程也可以根据信号强度的变化率大致分为三个阶段。在水化后的几个小时内,水化产物分布在未水化的水泥表面,使整个水化过程变得缓慢,特别是PC-0.5-NMR的水化过程。然后,涂层破裂导致水化进入快速反应阶段,最后水化速度逐渐减慢并稳定下来。

图1 不同水泥样品的水化过程低场核磁信号
图1中两个样品PC-0.3-NMR和PC0.5-NMR的水化过程的差异较为明显,水骨比较小的PC-0.3-NMR在水化的早期阶段显示出更快的水化率,PC-0.3-NMR的信号强度在水化72小时内下降了90%以上,明显高于PC0.5-NMR。
通过对不同水泥样品的水化过程低场核磁信号进行处理,可以得出样品水化程度的具体表征结果,如图2所示。PC-0.5NMR的水化仍可分为三个阶段。与PC-0.3-NMR相比,PC-0.5-NMR的水化程度也出现了先低后高的现象。

图2 不同水泥样品低场核磁法水化程度结果
图2中低场核磁共振的结果与传统的等温量热法测得的结果相似,表明这两种方法在表征水泥的水化动力学方面具有高度的一致性。因此,在理论前提下,通过低场核磁共振建立水泥基材料的KD水化动力学模型是可行的。
通过计算,可以拟合的不同水化过程(NG、I、D)的动力学曲线,以PC-0.5-NMR样本为例,NG、I、D过程的线性拟合结果如图3所示,线性拟合误差也相对较小。根据进一步的公式计算动力学参数结果为:n=2.2071, K’1= 0.0609, K’2=0.01121, K’3=0.00183。

图3 波兰特水泥不同水化过程(NG、I、D)的线性拟合结果
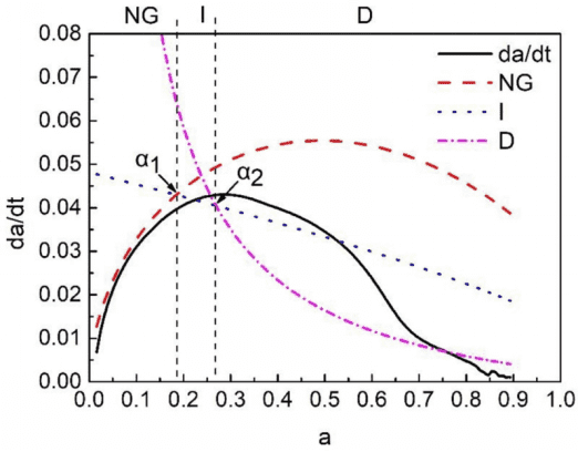
图4展示了通过低场核磁共振对NG-I-D过程进行分段模拟的结果。低场核磁共振结果还显示,PC的水化机制从NG过程变为I,然后再变为D。当水化程度为0-0.184时,水化主要为NG阶段。当水化程度在0.184和0.269之间时,水化过程主要为I阶段。而0.269之后的大部分水化阶段主要为D阶段。

图4 波兰特水泥NG-I-D过程进行分段模拟的结果
同样,对于C3S,本文也使用低场核磁共振来研究其水化动力学模型。图5披露了C3S水化6天内的水信号振幅和水化程度结果。两个结果都显示,C3S在最初的十小时水化过程中具有更快的水化率。在这个阶段,信号振幅和水化程度的结果演变得更快,然后水化率的趋势就变慢了。更重要的是,6天水化后C3S的水化度约为0.46,这比等温量热法的结果要高(6天的水化度为0.27)。

图5 C3S样品水化6天的信号振幅和水化程度结果
这证实了以水为探针的低场核磁共振比等温量热对水化程度的表征结果更高。值得注意的是,C3S比波兰特水泥需要更长的时间来进行水化。尽管它们在水化的初始阶段都有较快的水化反应速率,在2-3天的水化之后,波兰特水泥的反应速率趋于平稳。
通过计算,可以拟合C3S的不同水化过程(NG、I、D)的动力学曲线,拟合结果如图6所示。通过公式进一步推导得到NG、I和D的水化过程的动力学参数n=2.1812、K’1=0.0588、K’2=0.0161和K’3=0.0027。

图6 C3S不同水化过程(NG、I、D)的线性拟合结果
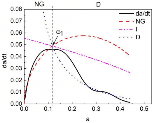
图7显示了通过低场核磁共振对C3S的NG-I-D水化阶段进行分段模拟的结果。如图7所示,NG、I和D的三条水化动力学曲线也相交于一点。

图7 C3S NG-I-D过程进行分段模拟的结果
因此,C3S的水化反应首先由NG过程主导,然后变成D过程,是不经过I过程的。当水化程度在0-0.127时,C3S的水化主要为NG阶段;在水化程度达到0.127后,水化反应主要为D阶段。
本研究使用低场核磁技术,基于KD模型研究了波特兰水泥和硅酸三钙的水化动力学。结果证明,由低场核磁共振法建立的水泥基材料的KD水化动力学模型可以作为一种可靠的方法来研究水泥基材料的水化机制,结论如下:
[1] Anming She, Kun Ma, et al. Hydration kinetics of cementitious materials based on low-field NMR and isothermal calorimetry [J], Fullerenes, Nanotubes and Carbon Nanostructures 2022,30:6, 607-618.

电话:400-060-3233
售后:400-060-3233
返回顶部