各位关注食品科技前沿的朋友们,“米兰网杯”江南大学优秀案例解析系列迎来了收官之作!压轴登场的研究聚焦冷冻食品品质提升的核心挑战——水分迁移与冰晶损伤。本期,我们一同走进江南大学团队利用低场核磁共振技术,探索磁场辅助冷冻调控对虾仁水分迁移的精彩研究!
冷冻技术是延长水产品货架期(如虾类)的关键手段,通过抑制生理生化过程、微生物生长来维持产品品质。然而,传统冷冻过程常因冻结速率不足,导致形成大量不规则的大冰晶。这些冰晶会严重损伤食品组织细胞,引发水分迁移,进而造成产品风味、营养价值的损失,并影响后续加工与消费接受度,制约了水产品的推广与发展。因此,调控冰晶尺寸、抑制水分迁移成为提升冷冻水产品品质的核心挑战。几十年来,冷冻工艺的优化集中在提高热传递效率上。然而,这种方法的主要缺点(如低温快速冷冻)是总冷却成本高,且某些产品在直接暴露于极低温度时易发生冻裂。最近,人们开始关注成核并提出了几种成核控制技术。从调节晶体核心形成和冰晶生长的角度出发,加速冷冻速率,使热传递速率大于水分渗透速率,以形成大量小体积均匀分布的细胞内冰晶,保护食品组织。其中,磁场辅助冷冻(MF)不仅改变了冰晶的成核,而且没有污染且能耗低。它不会在冻结过程中改变食品内部压力或产生氧化物质,是一种新型绿色食品冻结技术。

准确表征冰晶形成过程及水分状态动态变化对优化冷冻工艺至关重要。然而,传统检测方法多依赖破坏性取样,难以实现冷冻过程中水分迁移与冰晶演变的实时、原位追踪。相比之下,低场核磁共振(LF-NMR)技术凭借其非破坏性优势,能够通过检测水分子中氢质子的弛豫特性(特别是T2弛豫时间),有效区分并量化样品中不同状态水分(如自由水、结合水)的分布与迁移情况,为解决上述难题提供了强有力的技术支撑。
1、揭示磁场辅助冷冻对虾仁水分迁移的影响机制;
2、优化磁场强度参数,提升冷冻虾仁的保水性与质构。
实验流程:
样品制备:
1、活虾预处理;
2、磁场冷冻(0-80 mT);
3、LF-NMR与MRI检测。
关键参数:
1、磁场强度梯度(20/40/60/80 mT);
2、冷冻温度曲线(预冷、相变、深冷阶段)。
分析方法:
LF-NMR:横向弛豫时间(T2)解析水分分布;
MRI:伪彩色图谱直观展示水分迁移;
SEM/光学显微镜:冰晶形态与肌纤维损伤观察。
该实验中使用核磁共振成像分析仪NMI20-060H-I(米兰网分析)进行了LF -NMR弛豫测量。通过多层自旋回波脉冲序列成像分析了磁共振成像 (MRI)测量结果,直观展示了样品的水分分布情况。
1、低场核磁共振(LF-NMR )是一种非破坏性方法,通过测量样品中水分子的弛豫时间来分析水分的分布和状态。

图1:LF NMR曲线

图2:水组分P2的相对含量(%)

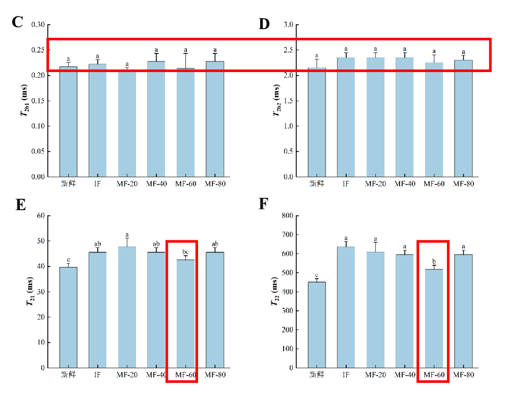
图3:横向弛豫时间T2(ms)(IF:浸泡冻结;MF:不同强度的磁场辅助冻结。)
如图所示,在0-1 毫秒(T2b1)、1-10毫秒(T2b2)、10-100毫秒(T21)和100-1000毫秒(T22)可以观察到四种不同的水群体。T2b1和T2b2分别代表强结合水和弱结合水。T21 代表存在于肌原纤维蛋白致密网络中的固定水,而T22代表存在于纤维束之间,依赖于毛细管力的自由水 。P2 代表相应组的相对含水量,P2越大,重组组的相对含水量越高,反之亦然。(C-F)T2 代表样品对水分子的结合能力,T2值越小,样品对水分子的结合能力越强,反之亦然。
1、冷冻处理导致固定水 (T21) 的弛豫时间增加,表明冷冻减弱了固定水与其他成分的结合,并增加了固定水的流动性。这可能是由于冷冻导致肌原纤维蛋白质变性,从而改变了水合作用,以及肌原纤维网络的恶化导致蛋白质分子部分氢键和离子键解离。
2、MF-60 处理组的 T21 值低于其他冷冻处理组,表明 MF-60 处理有效地抑制了固定水流动性的增加,这可能归因于 MF-60 抑制了大冰晶的形成,减少了冰晶对肌纤维网络结构的损伤,抑制了蛋白质分子的展开和变性。
2、磁共振成像(MRI) 是一种快速且无创的成像技术,通过测量样品中氢原子的弛豫时间来构建样品内部水分分布的图像,可以无损地检测食品基质内部的水分布。图像中不同颜色的区域代表不同的氢质子密度,从而反映不同区域的水分含量。

图4:不同处理的冷冻虾的MRI图像,新鲜虾和不同处理的冷冻虾的变化
1、新鲜样品的图像颜色最红最亮,表明新鲜样品的含水量最高。
2、冷冻处理导致图像颜色变暗,表明冷冻导致水分流失。
3、MF-60 处理组的图像颜色比其他冷冻处理组更亮,表明 MF-60 处理有效地减少了水分流失,并提高了肌肉的保水性。
实验证明:静态磁场辅助冷冻 (MF) 可以有效提高南美白对虾的冷冻品质,其中 60 mT 的磁场强度效果最佳,它能够缩短冷冻时间,减少冰晶对肌肉组织的损伤,从而改善冷冻虾的保水性、质地和外观。
“米兰网杯”江南大学优秀案例解析系列至此圆满收官! 感谢江南大学师生的卓越贡献,也感谢每一位读者的持续关注。
电话:400-060-3233
售后:400-060-3233
返回顶部