生命科学食品农业材料科学工业核磁实验教学石油能源岩土工程
台式核磁共振波谱仪 60台式核磁共振仪60Teach
核磁共振分析软件核磁共振图像处理软件核磁共振成像软件核磁共振数据处理软件
能源&石油岩土工程生命科学食品农业材料科学工业质检
公司新闻市场活动
售后服务常见问题资料中心在线留言
获奖信息学术成果
公司概况荣誉奖项集团组成客户分布联系我们加入我们
低场核磁研究凝胶分子迁移率和纳米结构变化
低场核磁表征应变硬化自修复智能软材料离子皮肤微相分离结构
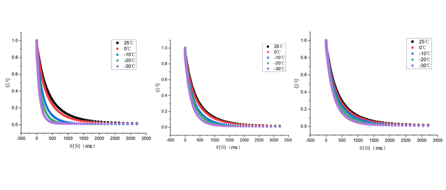
水凝胶是一种应用前景非常广阔的高分子材料,但是绝大多数的水凝胶由于水分含量过高,导致水凝胶只能在较窄的温度范围内工作。发展具有抗冻性能和低温力学性能的水凝胶是一项具有前景的研究。
水凝胶是一类极为亲水的三维网络结构凝胶,它在水中迅速溶胀并在此溶胀状态可以保持大量体积的水而不溶解。
电话:400-060-3233
售后:400-060-3233
返回顶部